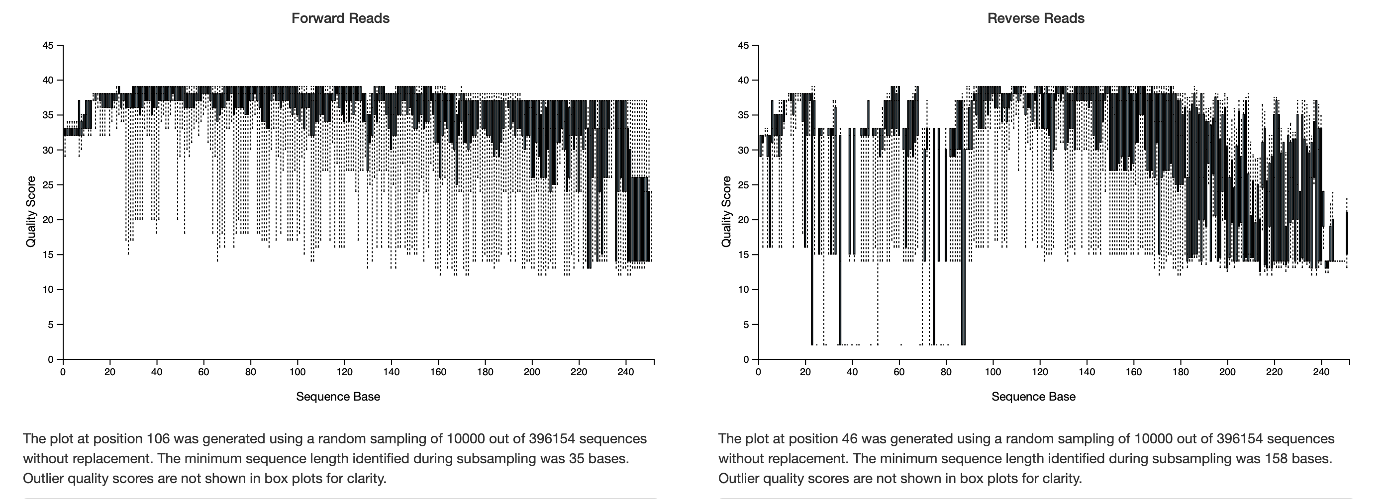
where should I cut my data?
I don't want to lose too much data and overlap
Hi Giulianafini,
Welcome to the forums! :qiime2:
This is an important question because keeping more data is good!
In case you have not found this already, here is how I approach this question:
What settings have you tried already and how well do they work?
3 Likes
This topic was automatically closed 31 days after the last reply. New replies are no longer allowed.
