Hi,
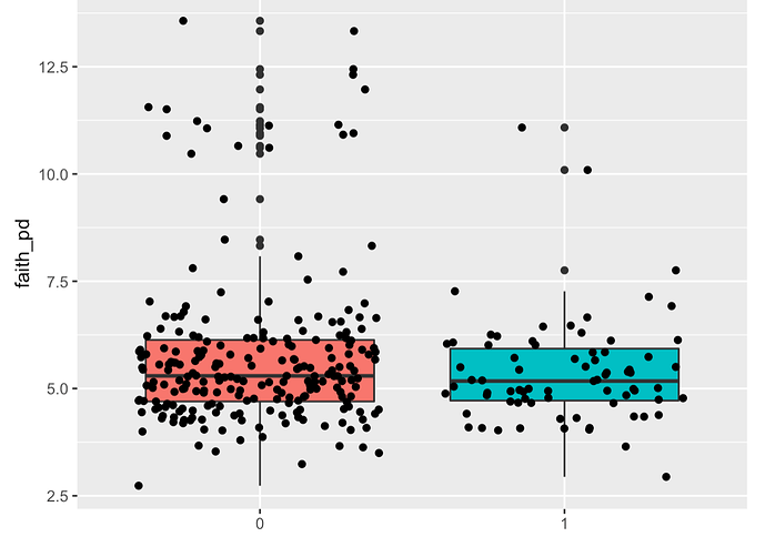
I am comparing Faith's phylogenetic diversity across two groups of stool samples from 2-year-old children. Within each group's distribution of Faith PD values, I notice that there appear to be two clusters (see screenshot of boxplot attached). I've investigated to participants in each cluster but haven't found that they differ based on any other variable measured in the study. I'm pretty new to microbiome analyses, and I am not sure how to further evaluate the reason for the clusters or how to address them when reporting results. Does anyone have suggestions for how to investigate or what to say about the clusters? Relatedly, does anyone have a sense of what a reasonable range for Faith PD values would be among stool samples from 2-year-old human children?
Thank you for any help you can provide!
