Hi everyone,
Now I have 15 paired data(300bp, illumina) with 515FB(19bp) and 926R(20bp).
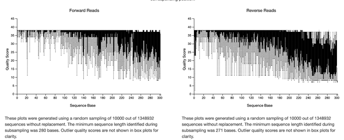
Here are my scripts and my results:
Importing data Casava 1.8 paired-end demultiplexed fastq
qiime tools import
--type 'SampleData[PairedEndSequencesWithQuality]'
--input-path data
--input-format CasavaOneEightSingleLanePerSampleDirFmt
--output-path demux-paired-end.qza
Trim primers
qiime cutadapt trim-paired
--i-demultiplexed-sequences demux-paired-end.qza
--p-front-f GTGYCAGCMGCCGCGGTAA
--p-front-r CCGYCAATTYMTTTRAGTTT
--p-error-rate 0
--p-minimum-length 200
--o-trimmed-sequences trimmed-seqs.qza
--verbose
dada2 denoise-paired
qiime dada2 denoise-paired
--p-n-threads 16
--i-demultiplexed-seqs trimmed-seqs.qza
--p-trunc-len-f 243
--p-trunc-len-r 226
--p-trim-left-f 0
--p-trim-left-r 5
--o-table table.qza
--o-representative-sequences rep-seqs.qza
--o-denoising-stats stats.qza
And I have some questions:
- Why did the length of reads remain unchanged after primer trimming? They are still 300bp?
- In the first figure, the interaction quality plot of forward reads, why are there some missing parts (I mean only some dotted lines) at the beginning?
- My overlap= 2*300-(916-515)=189 (Here I do not know if I need to cut primer, because question 1), my trim= (300-246)+(300-226-5)=123, so it seems okay. But the percentage of input passed filter and the percentage of input merged is very low, even if I set: --p-trunc-len-f 243 \ --p-trunc-len-r 196 , it can only increase from 70% to 75%, but still very low, right?
I would appreciate any suggestions. Thanks!
Kind regards,
Birong


