Hi, I have some difficulties to interpret my alpha and beta diversity, I wish to confirm my idea if the generated results are statistically significant, the following are my results:
Thank you all in advance for your help. Lisa
Hi, I have some difficulties to interpret my alpha and beta diversity, I wish to confirm my idea if the generated results are statistically significant, the following are my results:
Hello Lisa,
Can you tell me a little more about your study design? As far as I can tell, you have a 2x2 blocked design, with High/Low and Positivo/Negativo, with many samples within each group!
Are their any other parts of the study design that I missed? What are your main biological questions?
Colin
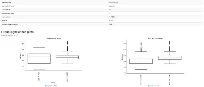
Hi Colin thank you for your prompt response this study is about to analizeof the composition of the microbiota in a group of a positivity of 1 pathogen and a group that is negative at the same pathogen, the other comparison that you saw in the other plot is about a group of animal with high and low animal welfare for a total of 91 samples. I hope I answered to your questions. Thank you for you help. Lisa
Ah, OK. So are these from two different studies? Like a study about pathogens, and a second study about animal welfare?
![]()
![]()
Yes two different studies same pool samples
Ah OK. It sounds like they were sequenced on the same Illumina sequencing run. Are the two studies in the same qzv and qza files, or do you have separate files for separate studies?
(Sorry for asking so many questions! I want to make sure I understand your study before I give bad advice.)
Colin
Sorry, they are the same sample, sequenced on the same illumina sequency run, are two studies in the same qzv and qza files, beta results came from different given command using columns of metadata. For example:
--m-metadata-column welfare
And
--m-metadata-column positivity
Thank you for your time Colin
Hi, someone can help me to interpret my alpha and beta diversity. thank you all, Lisa
Sorry to keep you waiting.
Because you have two studies on this run. You need to separate these studies into separate qzv and qza files. You can use qiime feature-table filter-samples to filter out the sample that belong to the other study. This will keep the samples from the wrong study from interfering with stat testing the other study.
https://docs.qiime2.org/2019.4/plugins/available/feature-table/filter-samples/
Once you have run qiime feature-table filter-samples twice to seperate by study, you can repeat the diversity testing you tried above and now the results will make more sense!
Colin
Thank you Colin I will do that!
This topic was automatically closed 31 days after the last reply. New replies are no longer allowed.