pairwise distances - interpretation of results

Hello,

I have a question regarding interpreting my results when I perform longitudinal pairwise-distances analyses.
I have three different groups of patients (A, B, C). Stool samples were collected at timepoints 1 and 2.
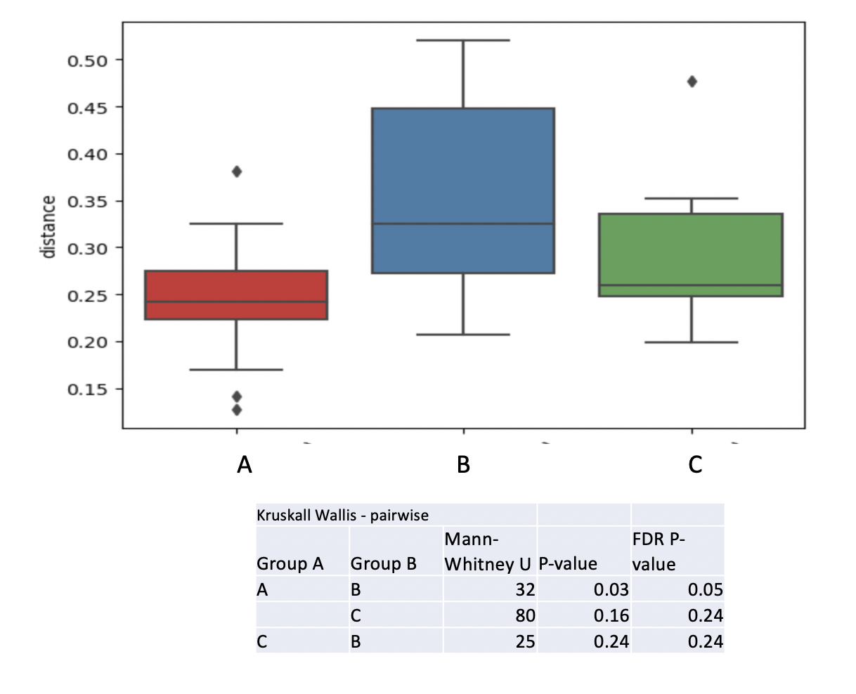
Below is the output I got when I performed pairwise distances analyses. How can I interpret the results and what conclusion can I come to from this graph and the stats? (please see attached photo of graph and results. This is based on the unweighted unifrac metric).

Thanks!
Rima

Hi @rnasrah,

You're looking at the distance between timepoint 1 and timepoint 2 for each of the groups. When i look at it, the time 1 and time 2 are more similar (smaller distance) in group A than in group B. It looks like group c is in the middle. You've got a significant difference in the change over time (distance between 1 and 2) between groups A and B but not C.

Best,
Justine

1 Like

Thanks Justine for the explanation.

I guess I don't understand how the conclusion would differ from doing the same analyses but with pairwise -differences. I understand that pairwise-differences is looking at the change in alpha diversity in the same individual over 2 different time points in each group. But not sure how the 'conclusion' would change. Attached is the pairwise-differences analyses for the same groups (the statistical testing were all nonsignificant). What conclusion can I draw looking at both sets of analyses (pairwise distances and pairwise differences).

Thanks so much Justine,
Rima

Hi @rnasrah

I think the key here is what the difference is between alpha and beta diversity. At the simplest level, alpha lets you ask the question if the within-sample diversity is changing. In this case, it's clearly not. Beta asks if there's a change in the community structure. (Yes, the change in larger in B than A). So, I'd say your alpha diversity is temporally stable but your beta diversity shifts (I'm guess its a weighted metric).

Best,
Justine

3 Likes

Great! Thanks so much for the explanation!

2 Likes

Just to add to @jwdebelius's answer, one additional difference is that the pairwise difference approach has 2 tests, once it tests the change within each group to 0 which asks did diversity change between timepoints in that group, and second it tests whether those change (delta) was different across the groups. With pairwise distance approach, you only get the latter test since there is no real zero reference point to compare to.

3 Likes

This topic was automatically closed 31 days after the last reply. New replies are no longer allowed.