Bray-Curtis PCoA shaped like a tripod with 3 columns

I have generated a Bray-Curtis PCoA that looks like a tripod with three columns that meet in the middle. I am curious if this indicates an error or what it means about the microbiomes I am analyzing. I am also curious if the bacterial taxonomic level can be set for the PCoA. To my understanding it is analyzing the bacteria at the species level of resolution.

I am using qiime2-2023.2 installed with conda

qiime diversity core-metrics-phylogenetic --i-phylogeny rooted-tree.qza --i-table table.qza --p-sampling-depth 508 --m-metadata-file metadata.tsv --output-dir core-metrics-results

I appreciate any help I can get. Thanks

Hi @bryan.fisher,

Welcome to the :qiime2: forum!

Although I dont have a great answer for sure, my money would be that your rarefaction depth is too shallow. In that case, it looks like maybe you have a few dominant/abundance features that that's what's giving you the gradient along the axis. My rule of thumb is that I dont work with 16S data with fewer than 1000 sequences/sample and I prefer to go deeper. (2500-5000 is kind of my sweet spot between spending too much on sequencing and having enough data to analyze.) You might find a shannon rarefaction curve can help you in your decision: you want that line to plateau. Sometimes, that means samples get sacrificed.

Best,
Justine

2 Likes


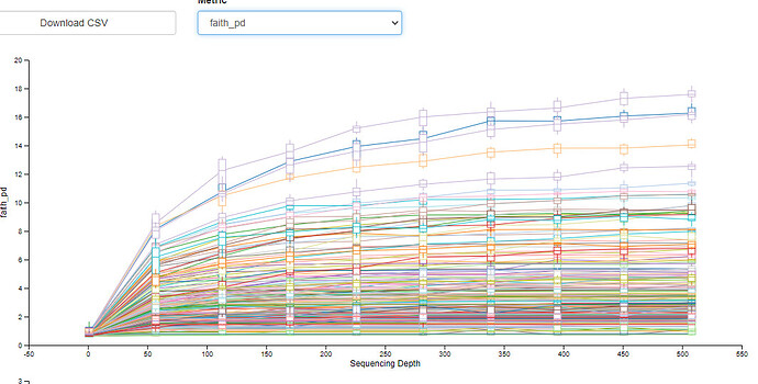
The shannon rarefaction flattens out well. There are three samples out of the 210 that didn't want to level out very well but I don't want to lose a bunch of other samples because of those 3.


The first one was shannon. This one is a faith's pd.

Hi @bryan.fisher,

It looks like your data is just super shallow, since the rarefaction typically cuts around the median. I would recommend going back and checking a table summary and looking at your denoising stats.

This is not a depth that I would move forward with and seriously question as a reviewer.

Best,
Justine

4 Likes

Hi Justine,

Thank you for your response. I'm not sure what you mean by super shallow. My sequence counts vary a lot but before denoising I have a mean of 50,000 sequences. After denoising I have significantly less but still average 8,400 sequences per sample.

I read something in the Qiime forum that said different trimming lengths can create an issue but they only mention the left trimming. I have a left trim of 0 for all my reads. I only vary by a couple of bases on my right trim.

Regards,
Bryan

Hi @bryan.fisher,

If you have a mean of 50,000 sequences/sample, then why are you rarefying at 508 sequences/sample? I mentioned my minimum rarefaction depth earlier... "shallow" has a relationship with that minimum depth

If you're not trimming your batches consistently, that could be another source of variation, although I would expect a slightly different confirmation for your PCoA in that case.

Best,
Justine

3 Likes

Hi Justine,

The sequence counts in my samples vary greatly. I already lose 21 samples when I rarify to 508. I tried rarifying to 1000 to see what would happen and I didn't gain much at all. Only 3 samples benefited from deeper rarefication. I figured it was better to retain samples.

Regards,
Bryan

Hi @bryan.fisher,

As I said in my earlier post,

Have you checked the deeper PCoA?

Best,
Justine

1 Like

Hi Justine,
I tried subsampling at 1000 and it didn't do much to the Bray-Curtis or Jaccard PCoAs. Maybe it really is just 3 major bacterial taxa driving the dissimilarities.

Bryan

2 Likes

Hi @bryan.fisher,

Thanks for testing that! If that's the case, you might expect it to be reflected either in a stacked barplot or maybe an empire plot. Those might both be good the check to see if it's a clade issue.

Best,
Justine

2 Likes

This topic was automatically closed 31 days after the last reply. New replies are no longer allowed.